Blog
Rose Tinted Glasses
22 October 2025

Dark matter has two central properties: it has mass like regular matter, and unlike regular matter, it reacts weakly or not at all with light. Neutrinos satisify these two criteria, but neutrinos move through space at nearly the speed of light, making them a form of hot dark matter. The observations we have suggest that dark matter is cold. There also aren’t enough neutrinos to account for all of dark matter, so we know dark matter isn’t made of neutrinos. No other known particle meets the criteria, so we have no idea what dark matter might be made of. Cue the theoretical physicists.
One of the more popular theoretical ideas is that dark matter is made of weakly interacting massive particles (WIMPs). There are various versions of WIMPs, but the basic idea is that they are particles much too massive to be observed in the particle accelerators we currently have. One consequence of WIMPs is that they would—either spontaneously or through mutual interactions—decay into the less massive particles we currently observe.1
Because of this, there have been several searches for emissions from dark matter, such as gamma rays. The idea is that when dark matter collides, it could create a cascade of high-energy particles and light. Evidence for this has been weak at best so far and doesn’t rise to the level of clear evidence. If dark matter interacts, it doesn’t interact strongly, and it doesn’t emit significant light.
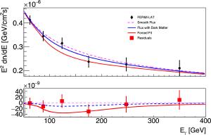
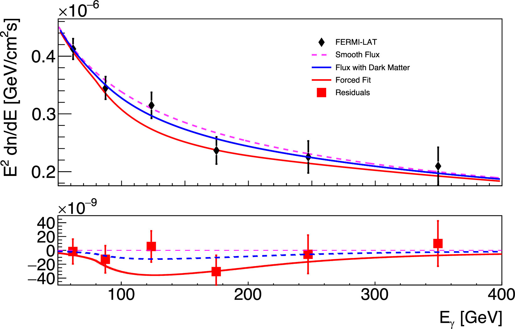
But a recent study looks at WIMP decay particles a different way.2 Rather than detecting high-energy decay particles directly, the authors calculate how background light would interact with these particles. They found that there could be interactions that affect light from distant galaxies in a measurable way.

The team calculated the theoretical scattering cross-sections for two dark matter cases: one where dark matter only interacts gravitationally and one where dark matter particle collisions produce secondary particles. They found that in the first case, low-energy photons tend to scatter more forward, while in the second case, photons tend to backscatter more often. This means that if dark matter is purely gravitational, then light passing through it would get a tiny bit of extra energy overall, skewing it slightly to the blue. If dark matter is weakly interacting, then light passing through it loses a bit of energy and appears slightly more red.
It should be emphasized that this tinting effect is very tiny. It’s far too small to allow for alternate cosmology models such as tired light. But the effect might be large enough for us to observe. For example, the authors compared their models with Fermi-LAT observations of the Milky Way’s galactic center. They found that either model fits within the uncertainties of the observations we have. Better observations of high-energy gamma rays from the center of our galaxy might prove or disprove the model.
Dark matter remains a deep puzzle of cosmology, so it’s good to keep looking for new ideas. Perhaps the discovery we’ve been looking for will prove that we see the Universe through rose-tinted glasses.