Blog

Echoes From The Abyss

3 December 2016

Simulation of a black hole and its accretion disk. ESO
Simulation of a black hole and its accretion disk.

With the detection of gravitational waves, we’re now able to observe black holes as they merge. We’re already able to determine the mass and rotation of the merging black holes, but gravitational waves might be able to settle the fierce debates over the conflict between black holes and quantum gravity.

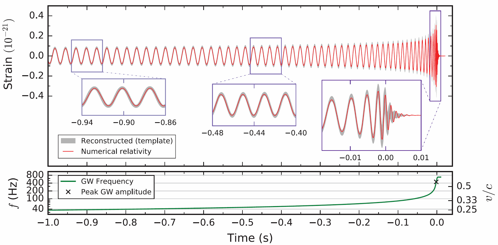
The signal of a classic black hole merger. LIGO
The signal of a classic black hole merger.

The LIGO signals we have so far show the classic properties of a black hole merger. Two orbiting black holes create a regular pattern of gravitational waves that gradually increase in frequency. Eventually the two masses merge, creating a chirp and “ringdown” as the newly formed black hole settles into a stable state. According to general relativity, once the new black hole settles down, it should no longer emit gravitational waves. That’s because a single black hole simply has the properties of mass and rotation (and theoretically charge), but nothing else. This is known as the “no-hair theorem.”

While relativity is a well-tested scientific theory, it runs into problems when you try to incorporate it into quantum theory. The foundational principles of quantum mechanics are very different from that of general relativity, so the two models don’t play well together. Since we have reasons to presume the ultimate theory of gravity is a quantum theory, there has been a lot of research on what such a theory would look like. When we try to develop a quantum version of black holes, weird paradoxes arise. One of them is known as the firewall paradox, where quantum fluctuations would create intense heat near the event horizon of a black hole, though this would seem to violate the equivalence principle, upon which relativity is based. Another is the information paradox, where knowledge of an object disappears when it crosses the event horizon, which violates a fundamental principle of quantum theory. Theorists have developed possible resolutions to these paradoxes, but there hasn’t been any way to test them. We can’t travel to a black hole to look at one up close.

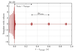
Secondary echoes could be evidence of quantum effects. Jahed Abedi, et al
Secondary echoes could be evidence of quantum effects.

But a new paper argues that LIGO might actually be able to test these ideas.1 While a classical black hole should be silent after the merger, quantum interactions near the event horizon could create small secondary chirps. These chirps should be regularly spaced, and their timing could put constraints on various quantum models. Interestingly, the team looked at data from the three black hole mergers that have been publicly announced, and found some evidence of these secondary signals. The statistics isn’t particularly strong, so it can’t be confirmed as a real effect, but that will change as we observe more black hole mergers. If these secondary chirps keep showing up, then we might be able to test the quantum behavior of black holes.

It’s an interesting result, and it demonstrates the power of gravitational astronomy.


  1. Abedi, Jahed, Hannah Dykaar, and Niayesh Afshordi. “Echoes from the Abyss: Tentative evidence for Planck-scale structure at black hole horizons.” Physical Review D 96.8 (2017): 082004. ↩︎